9  Confirmatory factor analysis

This walkthrough will take a look at a famous dataset in SEM, namely the Holzinger & Swineford (1939) study of the cognitive ability of children in two schools. We will perform a Confirmatory Factor Analysis (CFA) on these data in R using lavaan. In developing these materials, I relied on two excellent sources: the CFA tutorial on the lavaan website as well as this video by Sasha Epskamp.

Let’s set up the environment and have a look.

library("lavaan")
library("tidyverse") # for some minimal data wrangling
?HolzingerSwineford1939
HolzingerSwineford1939         package:lavaan          R Documentation

Holzinger and Swineford Dataset (9 Variables)

Description:

     The classic Holzinger and Swineford (1939) dataset consists of
     mental ability test scores of seventh- and eighth-grade children
     from two different schools (Pasteur and Grant-White). In the
     original dataset (available in the ‘MBESS’ package), there are
     scores for 26 tests. However, a smaller subset with 9 variables is
     more widely used in the literature (for example in Joreskog's 1969
     paper, which also uses the 145 subjects from the Grant-White
     school only).

Usage:

     data(HolzingerSwineford1939)
     
Format:

     A data frame with 301 observations of 15 variables.

     ‘id’ Identifier

     ‘sex’ Gender

     ‘ageyr’ Age, year part

     ‘agemo’ Age, month part

     ‘school’ School (Pasteur or Grant-White)

     ‘grade’ Grade

     ‘x1’ Visual perception

     ‘x2’ Cubes

     ‘x3’ Lozenges

     ‘x4’ Paragraph comprehension

     ‘x5’ Sentence completion

     ‘x6’ Word meaning

     ‘x7’ Speeded addition

     ‘x8’ Speeded counting of dots

     ‘x9’ Speeded discrimination straight and curved capitals

Source:

     This dataset was originally retrieved from
     http://web.missouri.edu/~kolenikovs/stata/hs-cfa.dta (link no
     longer active) and converted to an R dataset.

References:

     Holzinger, K., and Swineford, F. (1939). A study in factor
     analysis: The stability of a bifactor solution. Supplementary
     Educational Monograph, no. 48.  Chicago: University of Chicago
     Press.

     Joreskog, K. G. (1969). A general approach to confirmatory maximum
     likelihood factor analysis. _Psychometrika_, 34, 183-202.

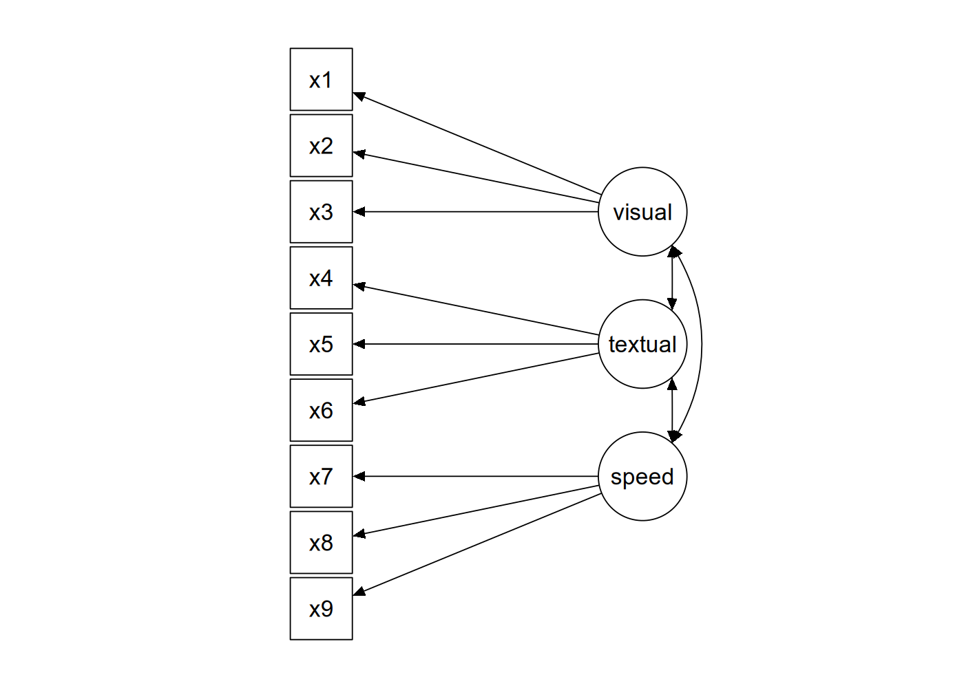
The basic idea behind the dataset is that you have three indicators for each of three latent factors representing different cognitive abilities, as shown in Figure 9.1 below.

Figure 9.1: Confirmatory factor model for the Holzinger & Swineford data. Source: https://lavaan.ugent.be/tutorial/cfa.html

The data from the study is ‘built-in’ to the lavaan package, which means that after you’ve loaded lavaan using library("lavaan"), the dataset will be accessible as the named variable HolzingerSwineford1939.

HolzingerSwineford1939 |>
  as_tibble() # convert from data.frame to tibble for printing
# A tibble: 301 × 15
      id   sex ageyr agemo school  grade    x1    x2    x3    x4    x5    x6
   <int> <int> <int> <int> <fct>   <int> <dbl> <dbl> <dbl> <dbl> <dbl> <dbl>
 1     1     1    13     1 Pasteur     7  3.33  7.75 0.375  2.33  5.75 1.29 
 2     2     2    13     7 Pasteur     7  5.33  5.25 2.12   1.67  3    1.29 
 3     3     2    13     1 Pasteur     7  4.5   5.25 1.88   1     1.75 0.429
 4     4     1    13     2 Pasteur     7  5.33  7.75 3      2.67  4.5  2.43 
 5     5     2    12     2 Pasteur     7  4.83  4.75 0.875  2.67  4    2.57 
 6     6     2    14     1 Pasteur     7  5.33  5    2.25   1     3    0.857
 7     7     1    12     1 Pasteur     7  2.83  6    1      3.33  6    2.86 
 8     8     2    12     2 Pasteur     7  5.67  6.25 1.88   3.67  4.25 1.29 
 9     9     2    13     0 Pasteur     7  4.5   5.75 1.5    2.67  5.75 2.71 
10    11     2    12     5 Pasteur     7  3.5   5.25 0.75   2.67  5    2.57 
# ℹ 291 more rows
# ℹ 3 more variables: x7 <dbl>, x8 <dbl>, x9 <dbl>

When performing CFA in lavaan, we can either write everything out in full lavaan syntax and fit the model using lavaan(), or we can use the convenience function cfa() which has appropriate defaults. We will do the latter.

The first step is to define the syntax of the model. To perform CFA, we need to use a new syntactic operator in lavaan, =~, which is used to define your measurement model. When you see =~ you should read this as “… is measured by …”. This operator will appear in a formula such as lv =~ i1 + i2 + ... which means “latent variable lv is measured by indicators i1, i2, etc.

So, the model syntax to reproduce the diagram in Figure 9.1 would be as follows (with the syntax enclosed between single quotes, as is usual in lavaan).

mod_hs <- '
visual  =~ x1 + x2 + x3
textual =~ x4 + x5 + x6
speed   =~ x7 + x8 + x9
'

That is really it, if we are using the function cfa(). Everything else in the model—the variances of the model indicators, the covariances among the latent factors—will be included in the model by default.

What’s left is just to run cfa().

fit_hs <- cfa(mod_hs, data = HolzingerSwineford1939)

fit_hs  ## just printing
lavaan 0.6-19 ended normally after 35 iterations

  Estimator                                         ML
  Optimization method                           NLMINB
  Number of model parameters                        21

  Number of observations                           301

Model Test User Model:
                                                      
  Test statistic                                85.306
  Degrees of freedom                                24
  P-value (Chi-square)                           0.000

Here we can see that we estimated 21 parameters and thus has 24 degrees of freedom. It also reports back that the default estimation algorithm of Maximum Likelihood (ML) was used. The model has a \(\chi^2(24)=85.306\), with \(p<.001\), so the null hypothesis of perfect fit is rejected (as it often is with moderately large datasets).

Let’s get more information using summary(), including measures of fit.

summary(fit_hs, fit.measures = TRUE)
lavaan 0.6-19 ended normally after 35 iterations

  Estimator                                         ML
  Optimization method                           NLMINB
  Number of model parameters                        21

  Number of observations                           301

Model Test User Model:
                                                      
  Test statistic                                85.306
  Degrees of freedom                                24
  P-value (Chi-square)                           0.000

Model Test Baseline Model:

  Test statistic                               918.852
  Degrees of freedom                                36
  P-value                                        0.000

User Model versus Baseline Model:

  Comparative Fit Index (CFI)                    0.931
  Tucker-Lewis Index (TLI)                       0.896

Loglikelihood and Information Criteria:

  Loglikelihood user model (H0)              -3737.745
  Loglikelihood unrestricted model (H1)      -3695.092
                                                      
  Akaike (AIC)                                7517.490
  Bayesian (BIC)                              7595.339
  Sample-size adjusted Bayesian (SABIC)       7528.739

Root Mean Square Error of Approximation:

  RMSEA                                          0.092
  90 Percent confidence interval - lower         0.071
  90 Percent confidence interval - upper         0.114
  P-value H_0: RMSEA <= 0.050                    0.001
  P-value H_0: RMSEA >= 0.080                    0.840

Standardized Root Mean Square Residual:

  SRMR                                           0.065

Parameter Estimates:

  Standard errors                             Standard
  Information                                 Expected
  Information saturated (h1) model          Structured

Latent Variables:
                   Estimate  Std.Err  z-value  P(>|z|)
  visual =~                                           
    x1                1.000                           
    x2                0.554    0.100    5.554    0.000
    x3                0.729    0.109    6.685    0.000
  textual =~                                          
    x4                1.000                           
    x5                1.113    0.065   17.014    0.000
    x6                0.926    0.055   16.703    0.000
  speed =~                                            
    x7                1.000                           
    x8                1.180    0.165    7.152    0.000
    x9                1.082    0.151    7.155    0.000

Covariances:
                   Estimate  Std.Err  z-value  P(>|z|)
  visual ~~                                           
    textual           0.408    0.074    5.552    0.000
    speed             0.262    0.056    4.660    0.000
  textual ~~                                          
    speed             0.173    0.049    3.518    0.000

Variances:
                   Estimate  Std.Err  z-value  P(>|z|)
   .x1                0.549    0.114    4.833    0.000
   .x2                1.134    0.102   11.146    0.000
   .x3                0.844    0.091    9.317    0.000
   .x4                0.371    0.048    7.779    0.000
   .x5                0.446    0.058    7.642    0.000
   .x6                0.356    0.043    8.277    0.000
   .x7                0.799    0.081    9.823    0.000
   .x8                0.488    0.074    6.573    0.000
   .x9                0.566    0.071    8.003    0.000
    visual            0.809    0.145    5.564    0.000
    textual           0.979    0.112    8.737    0.000
    speed             0.384    0.086    4.451    0.000

The fit indices don’t look spectacular, so perhaps we can look into ways to improve the model. The modificationIndices() function shows the \(\chi^2\) value associated with various possible modifications to the original fit.

modificationIndices(fit_hs) |>
  arrange(desc(mi))
       lhs op rhs     mi    epc sepc.lv sepc.all sepc.nox
1   visual =~  x9 36.411  0.577   0.519    0.515    0.515
2       x7 ~~  x8 34.145  0.536   0.536    0.859    0.859
3   visual =~  x7 18.631 -0.422  -0.380   -0.349   -0.349
4       x8 ~~  x9 14.946 -0.423  -0.423   -0.805   -0.805
5  textual =~  x3  9.151 -0.272  -0.269   -0.238   -0.238
6       x2 ~~  x7  8.918 -0.183  -0.183   -0.192   -0.192
7  textual =~  x1  8.903  0.350   0.347    0.297    0.297
8       x2 ~~  x3  8.532  0.218   0.218    0.223    0.223
9       x3 ~~  x5  7.858 -0.130  -0.130   -0.212   -0.212
10  visual =~  x5  7.441 -0.210  -0.189   -0.147   -0.147
11      x1 ~~  x9  7.335  0.138   0.138    0.247    0.247
12      x4 ~~  x6  6.220 -0.235  -0.235   -0.646   -0.646
13      x4 ~~  x7  5.920  0.098   0.098    0.180    0.180
14      x1 ~~  x7  5.420 -0.129  -0.129   -0.195   -0.195
15      x7 ~~  x9  5.183 -0.187  -0.187   -0.278   -0.278
16 textual =~  x9  4.796  0.138   0.137    0.136    0.136
17  visual =~  x8  4.295 -0.210  -0.189   -0.187   -0.187
18      x3 ~~  x9  4.126  0.102   0.102    0.147    0.147
19      x4 ~~  x8  3.805 -0.069  -0.069   -0.162   -0.162
20      x1 ~~  x2  3.606 -0.184  -0.184   -0.233   -0.233
21      x1 ~~  x4  3.554  0.078   0.078    0.173    0.173
22 textual =~  x8  3.359 -0.121  -0.120   -0.118   -0.118
23  visual =~  x6  2.843  0.111   0.100    0.092    0.092
24      x4 ~~  x5  2.534  0.186   0.186    0.457    0.457
25      x2 ~~  x9  1.895  0.075   0.075    0.094    0.094
26      x3 ~~  x6  1.855  0.055   0.055    0.100    0.100
27   speed =~  x2  1.580 -0.198  -0.123   -0.105   -0.105
28      x5 ~~  x7  1.233 -0.049  -0.049   -0.083   -0.083
29  visual =~  x4  1.211  0.077   0.069    0.059    0.059
30      x5 ~~  x9  0.999  0.040   0.040    0.079    0.079
31      x1 ~~  x3  0.935 -0.139  -0.139   -0.203   -0.203
32      x5 ~~  x6  0.916  0.101   0.101    0.253    0.253
33      x2 ~~  x6  0.785  0.039   0.039    0.062    0.062
34   speed =~  x3  0.716  0.136   0.084    0.075    0.075
35      x3 ~~  x7  0.638 -0.044  -0.044   -0.054   -0.054
36      x1 ~~  x8  0.634 -0.041  -0.041   -0.079   -0.079
37      x2 ~~  x4  0.534 -0.034  -0.034   -0.052   -0.052
38      x1 ~~  x5  0.522 -0.033  -0.033   -0.067   -0.067
39      x5 ~~  x8  0.347  0.023   0.023    0.049    0.049
40      x6 ~~  x8  0.275  0.018   0.018    0.043    0.043
41   speed =~  x6  0.273  0.044   0.027    0.025    0.025
42      x6 ~~  x7  0.259 -0.020  -0.020   -0.037   -0.037
43   speed =~  x5  0.201 -0.044  -0.027   -0.021   -0.021
44      x4 ~~  x9  0.196 -0.016  -0.016   -0.035   -0.035
45      x3 ~~  x4  0.142 -0.016  -0.016   -0.028   -0.028
46 textual =~  x7  0.098 -0.021  -0.021   -0.019   -0.019
47      x6 ~~  x9  0.097 -0.011  -0.011   -0.024   -0.024
48      x3 ~~  x8  0.059 -0.012  -0.012   -0.019   -0.019
49      x2 ~~  x8  0.054 -0.012  -0.012   -0.017   -0.017
50      x1 ~~  x6  0.048  0.009   0.009    0.020    0.020
51      x2 ~~  x5  0.023 -0.008  -0.008   -0.011   -0.011
52 textual =~  x2  0.017 -0.011  -0.011   -0.010   -0.010
53   speed =~  x1  0.014  0.024   0.015    0.013    0.013
54   speed =~  x4  0.003 -0.005  -0.003   -0.003   -0.003

These are some ways you could improve model fit, but here you want to be careful. Note that some cross-loadings are being suggested (e.g., visual =~ x9) but you might want to avoid these unless you have some theoretical reason for including them.

Maybe what we would want to do instead would be to improve the model by allowing a few covariances between indicator variables. So let’s restrict the set of possibilities to these.

modificationIndices(fit_hs) |>
  filter(op == "~~") |>   # the syntactic symbol for covariances
  arrange(desc(mi)) |>    # order them in terms of the modification index
  slice(1:15)
   lhs op rhs     mi    epc sepc.lv sepc.all sepc.nox
1   x7 ~~  x8 34.145  0.536   0.536    0.859    0.859
2   x8 ~~  x9 14.946 -0.423  -0.423   -0.805   -0.805
3   x2 ~~  x7  8.918 -0.183  -0.183   -0.192   -0.192
4   x2 ~~  x3  8.532  0.218   0.218    0.223    0.223
5   x3 ~~  x5  7.858 -0.130  -0.130   -0.212   -0.212
6   x1 ~~  x9  7.335  0.138   0.138    0.247    0.247
7   x4 ~~  x6  6.220 -0.235  -0.235   -0.646   -0.646
8   x4 ~~  x7  5.920  0.098   0.098    0.180    0.180
9   x1 ~~  x7  5.420 -0.129  -0.129   -0.195   -0.195
10  x7 ~~  x9  5.183 -0.187  -0.187   -0.278   -0.278
11  x3 ~~  x9  4.126  0.102   0.102    0.147    0.147
12  x4 ~~  x8  3.805 -0.069  -0.069   -0.162   -0.162
13  x1 ~~  x2  3.606 -0.184  -0.184   -0.233   -0.233
14  x1 ~~  x4  3.554  0.078   0.078    0.173    0.173
15  x4 ~~  x5  2.534  0.186   0.186    0.457    0.457

These are the top candidates for improving our model. First of these is to allow x7 to covary with x8. Let’s do that and check the improvement to the fit.

mod_hs2 <- '
visual  =~ x1 + x2 + x3
textual =~ x4 + x5 + x6
speed   =~ x7 + x8 + x9

## included to improve model fit
x7 ~~ x8
'

fit_hs2 <- cfa(mod_hs2, data = HolzingerSwineford1939)

summary(fit_hs2, fit.measures=TRUE)
lavaan 0.6-19 ended normally after 43 iterations

  Estimator                                         ML
  Optimization method                           NLMINB
  Number of model parameters                        22

  Number of observations                           301

Model Test User Model:
                                                      
  Test statistic                                53.272
  Degrees of freedom                                23
  P-value (Chi-square)                           0.000

Model Test Baseline Model:

  Test statistic                               918.852
  Degrees of freedom                                36
  P-value                                        0.000

User Model versus Baseline Model:

  Comparative Fit Index (CFI)                    0.966
  Tucker-Lewis Index (TLI)                       0.946

Loglikelihood and Information Criteria:

  Loglikelihood user model (H0)              -3721.728
  Loglikelihood unrestricted model (H1)      -3695.092
                                                      
  Akaike (AIC)                                7487.457
  Bayesian (BIC)                              7569.013
  Sample-size adjusted Bayesian (SABIC)       7499.242

Root Mean Square Error of Approximation:

  RMSEA                                          0.066
  90 Percent confidence interval - lower         0.043
  90 Percent confidence interval - upper         0.090
  P-value H_0: RMSEA <= 0.050                    0.118
  P-value H_0: RMSEA >= 0.080                    0.175

Standardized Root Mean Square Residual:

  SRMR                                           0.047

Parameter Estimates:

  Standard errors                             Standard
  Information                                 Expected
  Information saturated (h1) model          Structured

Latent Variables:
                   Estimate  Std.Err  z-value  P(>|z|)
  visual =~                                           
    x1                1.000                           
    x2                0.576    0.098    5.898    0.000
    x3                0.752    0.103    7.289    0.000
  textual =~                                          
    x4                1.000                           
    x5                1.115    0.066   17.015    0.000
    x6                0.926    0.056   16.682    0.000
  speed =~                                            
    x7                1.000                           
    x8                1.244    0.194    6.414    0.000
    x9                2.515    0.641    3.924    0.000

Covariances:
                   Estimate  Std.Err  z-value  P(>|z|)
 .x7 ~~                                               
   .x8                0.353    0.067    5.239    0.000
  visual ~~                                           
    textual           0.400    0.073    5.511    0.000
    speed             0.184    0.054    3.423    0.001
  textual ~~                                          
    speed             0.102    0.036    2.854    0.004

Variances:
                   Estimate  Std.Err  z-value  P(>|z|)
   .x1                0.576    0.101    5.678    0.000
   .x2                1.122    0.100   11.171    0.000
   .x3                0.832    0.087    9.552    0.000
   .x4                0.372    0.048    7.791    0.000
   .x5                0.444    0.058    7.600    0.000
   .x6                0.357    0.043    8.287    0.000
   .x7                1.036    0.090   11.501    0.000
   .x8                0.795    0.080    9.988    0.000
   .x9                0.088    0.188    0.466    0.641
    visual            0.783    0.135    5.810    0.000
    textual           0.978    0.112    8.729    0.000
    speed             0.147    0.056    2.615    0.009

You will probably want to compare models to see if the inclusion is justified.

anova(fit_hs2, fit_hs)

Chi-Squared Difference Test

        Df    AIC    BIC  Chisq Chisq diff   RMSEA Df diff Pr(>Chisq)    
fit_hs2 23 7487.5 7569.0 53.272                                          
fit_hs  24 7517.5 7595.3 85.305     32.033 0.32109       1  1.516e-08 ***
---
Signif. codes:  0 '***' 0.001 '**' 0.01 '*' 0.05 '.' 0.1 ' ' 1

You could (in principal) continue this process until you get a satisfactory model fit. But let’s put this aside and have a look at another useful thing you can do.

One thing you might want to know is: what are the correlations between these various latent factors? The output gives use covariances, which are hard to interpret, because the variances of the latent factors are not standardized. Rather than using unit loading identification (ULI), we can switch to unit variance identification (UVI); in other words, rather than having the first loading scaled to one, we allow the loading to vary but fix the variance of our latent factors to 1. We can do this by adding std.lv=TRUE option to our call to cfa().

fit_cfa2 <- cfa(mod_hs2, data = HolzingerSwineford1939,
                std.lv = TRUE)
Covariances:
                   Estimate  Std.Err  z-value  P(>|z|)
 .x7 ~~                                               
   .x8                0.353    0.067    5.239    0.000
  visual ~~                                           
    textual           0.457    0.064    7.142    0.000
    speed             0.544    0.078    6.965    0.000
  textual ~~                                          
    speed             0.270    0.065    4.141    0.000

Now that we have this information, we can interpret the covariance between latent factors as correlations. We obtain small to medium positive correlations between all three factors: so, a correlation of 0.457 between visual and textual; of 0.544 between visual and speed; and of 0.27 between textual and speed.